宝鸡公布一批非法营运车辆“黑名单”,市民若发现请举报
西西新闻 @2025-09-30
字号
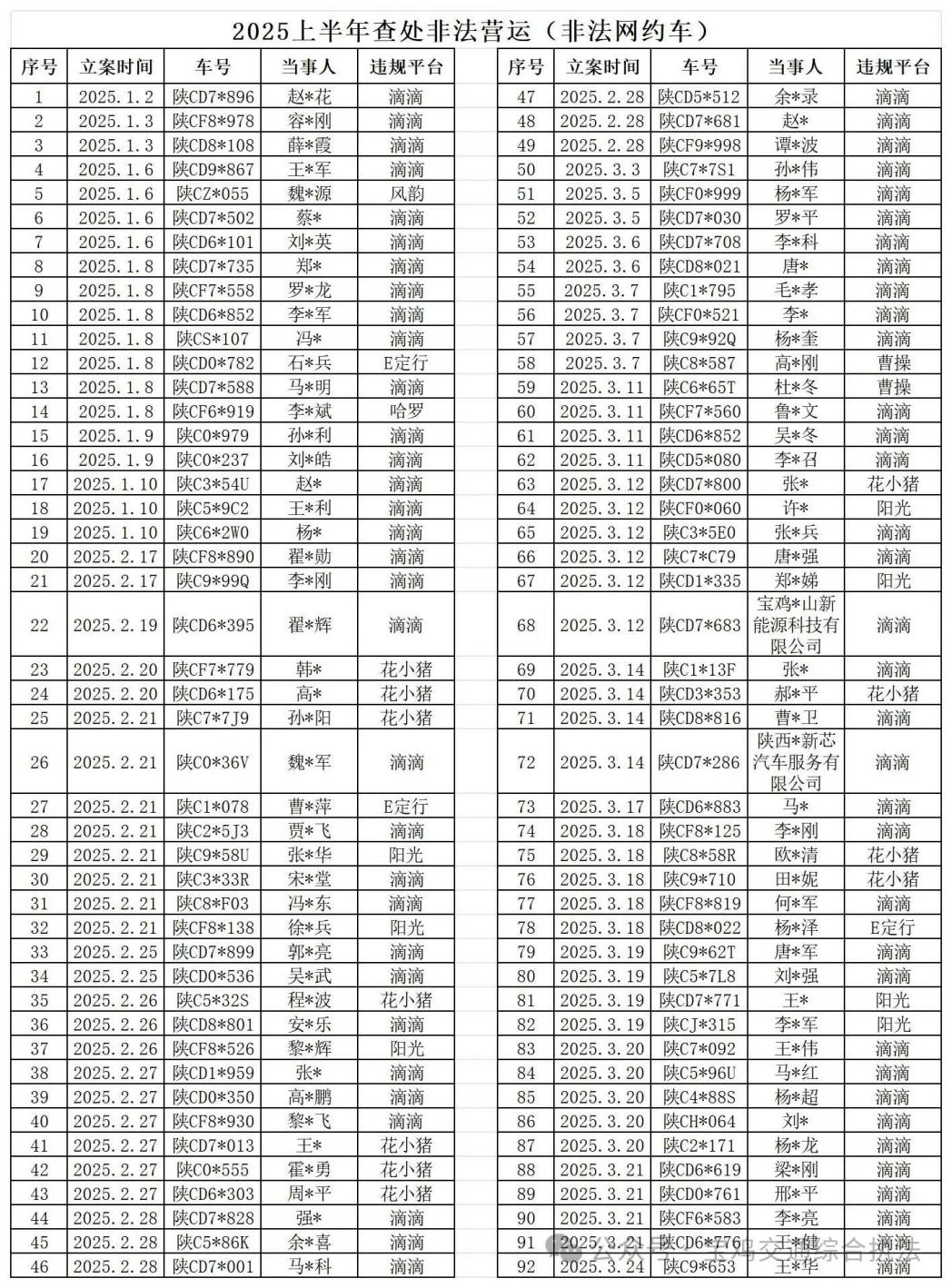
9月28日,宝鸡市交通运输综合执法支队重磅曝光2025年上半年查处的一批非法营运车辆“黑名单”。
据悉,相关司机与车辆信息已被同步抄送交警和银保监部门,将接受联合惩戒。交通部门提醒,市民若发现“黑车”请立即拨打12328热线举报,共同守护出行安全。(记者 张黎江)



编辑/李玲




